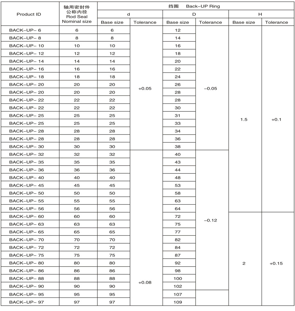
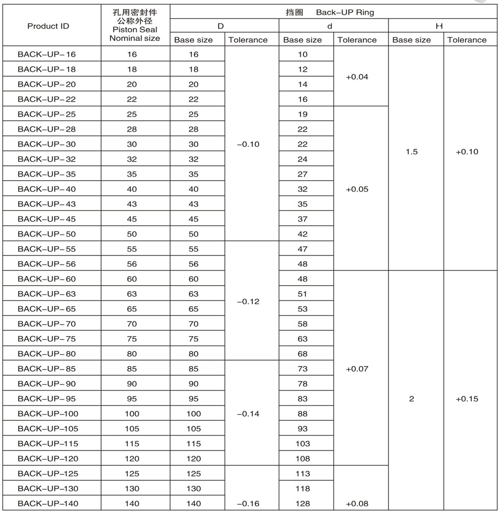
支撑环
CLASS:Guiding Element
FEATURE:

COTACT US
TEl:0086-0576-83558888
E-Mail:postmaster@xipuli.com.cn
Usage: This stand used in the
condition when the pressureare high than 10Mpa to protect
the rod sealingPressure:<36MPATemperature:-40~+100CMedia: Oil、WaterHardness:92A+5Material: PTFE、Nylon1010Standard from:Chinese corporation





Usage: This stand used in theconditionwhen the pressure are high than1 0Mpa to protectthe piston sealing

Pressure:<36MPA

Temperature:-40~+100°C

Media: Oil、WaterHardness:92A+5

Material: PTFE、Nylon1010

Standard from:Chinese corporation